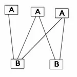
Довольно часто бывает необходимо "связать" документы двух типов. Назовем их A и B. Нужно, чтобы из документа типа A можно было увидеть список документов типа B через встроенное представление. А из документов типа B увидеть список документов типа A. Чтобы было более понятно, я это изобразил на рисунке.
Предполагается, что для связи будут использованы UNID (хотя, это не столь важно).
Вроде бы, сделать достаточно просто. В документе типа A создаем поле, которое содержит список UNID документов типа B. И наоборот. И чтобы связать два документа, нужно в соответствующие поля добавить их UNID.
Но тут возникают некоторые неудобства. А именно вероятность появления конфликта записи или репликации при добавлении ссылок.
Частично этого можно избежать использованием функции блокировки документов, что тоже не совсем удобно.
Поэтому я хочу узнать, как вы решали эту проблему.
У меня есть метод и я опишу его чуть позже.
Предполагается, что для связи будут использованы UNID (хотя, это не столь важно).
Вроде бы, сделать достаточно просто. В документе типа A создаем поле, которое содержит список UNID документов типа B. И наоборот. И чтобы связать два документа, нужно в соответствующие поля добавить их UNID.
Но тут возникают некоторые неудобства. А именно вероятность появления конфликта записи или репликации при добавлении ссылок.
Поэтому я хочу узнать, как вы решали эту проблему.
У меня есть метод и я опишу его чуть позже.